Content Oriented Web
Make great presentations, longreads, and landing pages, as well as photo stories, blogs, lookbooks, and all other kinds of content oriented projects.
Есть вопросы? Заполните форму
и мы ответим вам в кратчайшие сроки:

Расчет среднего уровня маржинального
дохода планируемой акции

Дарья Болотова
05.06.2013
Согласно классическому определению, маржинальный доход - это разность между выручкой от реализации продукции и переменными затратами. В розничной торговле маржинальный доход (или валовый доход, в зависимости от терминологии, принятой в компании) представляет собой разность между объемом продаж (выручкой) и себестоимостью продаж (объемом продаж в закупочных ценах). Под уровнем маржинального дохода будем понимать отношение маржинального дохода к объему продаж.

Выведем формулу для оценки уровня маржинального дохода маркетинговой акции в зависимости от средней маржи в регулярный период и размера скидки. Введем следующие обозначения:
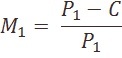
P1 – Регулярная цена товара
P2 – Акционная цена товара
C – Себестоимость товара (закупочная цена)
Выразим регулярный уровень маржинального дохода при регулярных продажах и в акционный период, а также акционую цену товара:
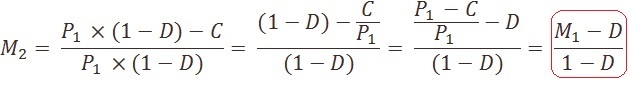
Из элементарного тождества выводим формулу для расчета уровня маржинального дохода по акции:
Итак, уровень маржинального дохода по акции - это отношение разности между средним маржинальным доходом регулярных продаж и размером скидки к единице за вычетом размера скидки.

Достаточно часто для "быстрой" оценки уровня маржинального дохода маркетинговых акций используют простое вычитание размера скидки из уровня среднего маржинального дохода:
Предположим, средний уровень маржинального дохода в компании во время регулярных продаж составляет 35% (0,35), планируется проведение акции "Скидка на все 10%". Простым вычитанием получаем уровень среднего маржинального дохода - 25% (35%-10%). Применив формулу, получим следующий результат:
Как видим, отклонение в большую сторону (M2 - M0 ) составляет 2,8%, а при обороте в 1 млн. руб - около 280 тыс. руб.

В условиях, когда планируется проведение одновременно несколько маркетинговых акций, расчет маржинального дохода усложняется. Например, в компании введены купоны на скидку и планируется запустить акцию "Скидка на товарную группу". Для расчета можно воспользоваться следующим алгоритмом, представленным на схеме:
В предложенной схеме учитывается объем продаж по купонам в каждом товарном направлении, коэффициент влияния акционного товарного направления на объем продаж других товарных групп (исходя из статистики прошлых периодов), темп роста недельных объемов продаж по купонам и их доля в общей выручке.


D – Уровень скидки в акционный период
M1 – Уровень маржинального дохода при регулярных продажах
M2 – Уровень маржинального дохода в акционный период